Coronavirus SARS-CoV-2: Fallzahlen für Rheinland-Pfalz, (Datenstand vom 21.10.2022, 14:10 Uhr)
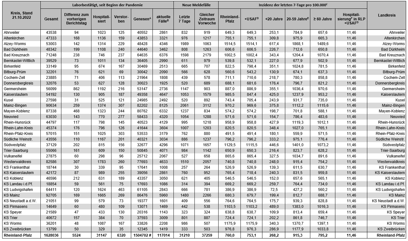
Die Fallzahlen zum Coronavirus in Rheinland-Pfalz: Seit dem letzten Berichtstag gibt es 5.524 neue bestätigte Corona-Fälle, 13 weitere Personen sind im Zusammenhang mit einer Infektion gestorben. Die landesweite 7-Tages-Inzidenz beträgt 760,0 pro 100.000 Einwohner (vor einer Woche: 907,3). Die landesweite 7-Tages-Hospitalisierungsinzidenz beträgt 11,46 pro 100.000 Einwohner (vor einer Woche: 14,65).
Fallzahlen für Rheinland-Pfalz

Anmerkungen zur Tabelle
Dargestellt sind ausschließlich mittels PCR laborbestätigte Meldefälle.
A Genesen wurde wie folgt definiert:
a) nicht-verstorben, nicht-hospitalisiert und vor mehr als 21 Tagen ab Datenstichtag erkrankt
b) nicht-verstorben, hospitalisiert gemeldet und vor mehr als 28 Tagen ab Datenstichtag erkrankt
c) nicht-verstorben, Hospitalisierung unbekannt und vor mehr als 28 ab Datenstichtag Tagen erkrankt
Sofern kein Erkrankungsdatum vorliegt, wird das geschätzte Erkrankungsdatum aus Meldedatum minus mittlerem Meldeverzug von derzeit 5 Tagen verwendet.
B Errechnet als Differenz aus Gesamtzahl der laborbestätigten Fälle, Verstorbenen und Genesenen.
C COVID-19 Erkrankungen mit Meldedatum der letzten 7 Tage ab Datenstichtag, pro 100.000 Einwohner. Bitte beachten Sie, dass die Gesamtinzidenz der Meldungen in den letzten 7 Tagen für Rheinland-Pfalz /100.000 Einwohner das mit der Bevölkerungszahl der Gebietseinheit gewichtete Mittel und nicht deren arithmetisches Mittel ist.
D USAF = U.S. Armed Forces; Berechnung der Inzidenz /100.000 unter Berücksichtigung der mit Stand vom 18.10.2021 in der Gebietseinheit stationierten U.S. Streitkräfte
E beinhaltet <1% Fälle ohne Altersangabe
F Für die 7-Tage-Hospitalisierungsinzidenz (Schutzwert) wird ein landesweiter Wert berichtet. Die 7-Tages-Hospitalisierungsinzidenz bestimmt sich nach der Zahl der Hospitalisierungen unter den SARS-CoV-2-Fällen mit Meldedatum innerhalb der letzten 7 Tage je 100.000 Einwohnerinnen und Einwohner im Land Rheinland-Pfalz. Eine Hospitalisierung ist die stationäre Aufnahme in ein Akutkrankenhaus aufgrund von COVID-19, unbekannter oder anderer bekannter Ursache.
# Die Summe der in Rheinland-Pfalz bereits von COVID-19 Genesenen kann aufgrund eines unterschiedlichen Datenstandes und Bewertungsalgorithmus von der auf dem RKI-Dashboard abweichen.
KS = kreisfreie Stadt
Effektivität der Impfung
Mit Hinblick auf die Abschätzung der Impfeffektivität gegen COVID-19-Erkrankungen verweisen wir auf unseren Wochenbericht.
SARS-CoV-2-Varianten
Bundesweite Informationen zu besorgniserregenden Virusvarianten (Variants of Concern) finden Sie im Wochenbericht des Robert Koch-Instituts.
Corona-Lage in Rheinland-Pfalz
Weitere Informationen und Rechtsgrundlagen finden Sie auf der zentralen Info-Plattform der rheinland-pfälzischen Landesregierung unter www.corona.rlp.de.
Weitere Meldedaten zur Corona-Pandemie
Weitere rheinland-pfälzische Meldedaten zum Coronavirus finden Sie auf www.lua.rlp.de.
DIVI-Intensivregister: Anzeige der täglich freien und belegten Behandlungskapazitäten in der Intensivmedizin von etwa 1.300 Akut-Krankenhäusern in Deutschland:
https://www.intensivregister.de/#/aktuelle-lage/kartenansichten
RKI Zahlen finden Sie hier:
https://experience.arcgis.com/experience/478220a4c454480e823b17327b2bf1d4
https://www.facebook.com/Gesundheit.in.KL
—
Quelle Text/Bild:
LANDESUNTERSUCHUNGSAMT RHEINLAND-PFALZ
Mainzer Straße 112
56068 Koblenz
www.lua.rlp.de
Koblenz, 21.10.2022












