Coronavirus KL letzten 7 Tage pro 100.000 (mit USAF): Landkreis 1.424,0 ; Stadt 1.135,0 ; RLP 1.037,0

Coronavirus SARS-CoV-2: Fallzahlen für Rheinland-Pfalz, (Datenstand vom 13.04.2022, 14:10 Uhr)

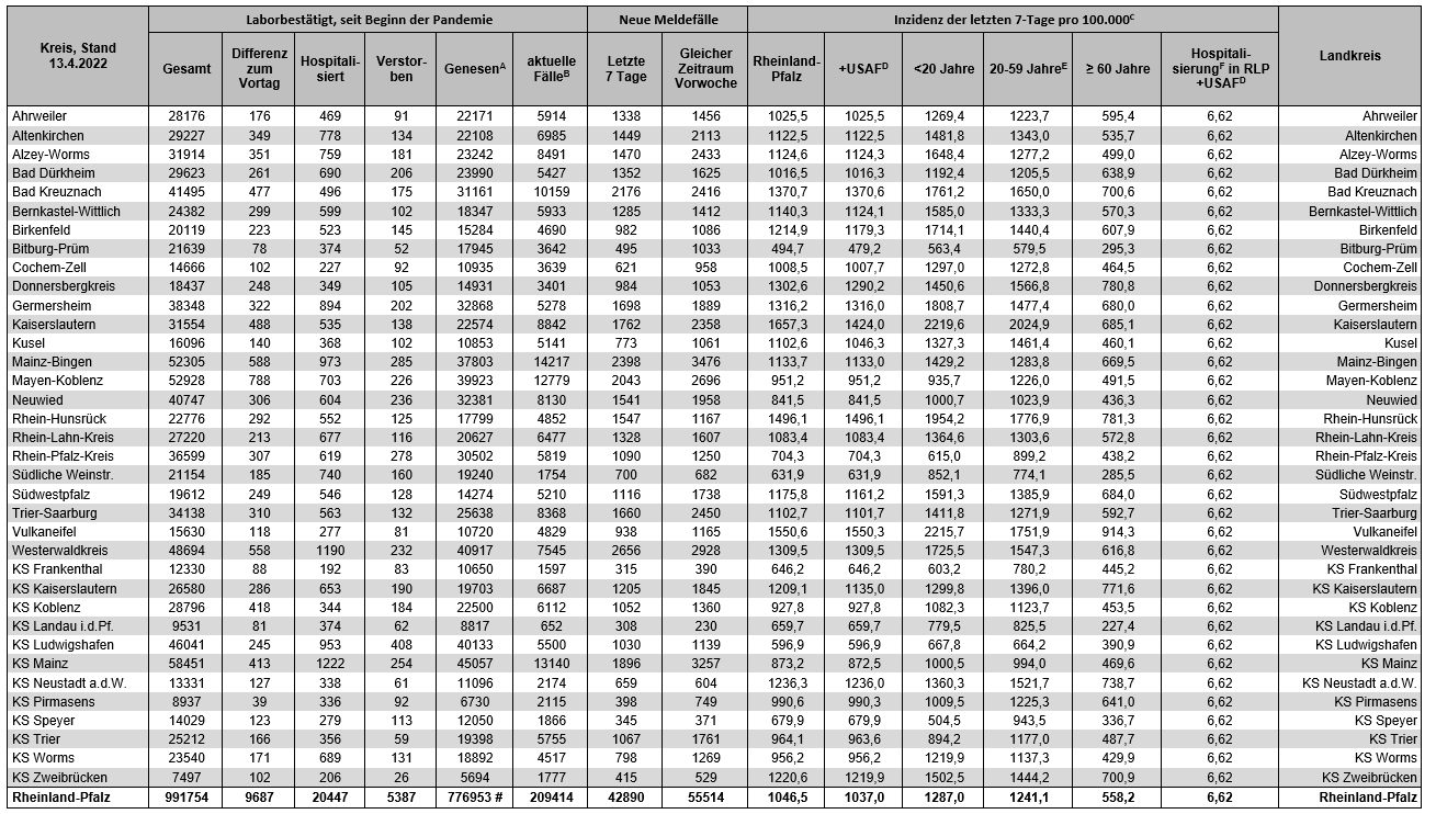
Die Fallzahlen zum Coronavirus in Rheinland-Pfalz: Seit gestern gibt es 9.687 neue bestätigte Corona-Fälle, 8 weitere Personen sind im Zusammenhang mit einer Infektion gestorben. Die landesweite 7-Tages-Inzidenz beträgt 1.046,5 pro 100.000 Einwohner (Vortag: 1.076,3). Die landesweite 7-Tages-Hospitalisierungsinzidenz beträgt 6,62 pro 100.000 Einwohner (Vortag: 6,77).

Fallzahlen für Rheinland-Pfalz

Anmerkungen zur Tabelle
Dargestellt sind ausschließlich mittels PCR laborbestätigte Meldefälle.
A Genesen wurde wie folgt definiert:
a) nicht-verstorben, nicht-hospitalisiert und vor mehr als 21 Tagen ab Datenstichtag erkrankt
b) nicht-verstorben, hospitalisiert gemeldet und vor mehr als 28 Tagen ab Datenstichtag erkrankt
c) nicht-verstorben, Hospitalisierung unbekannt und vor mehr als 28 ab Datenstichtag Tagen erkrankt
Sofern kein Erkrankungsdatum vorliegt, wird das geschätzte Erkrankungsdatum aus Meldedatum minus mittlerem Meldeverzug von derzeit 5 Tagen verwendet.
B Errechnet als Differenz aus Gesamtzahl der laborbestätigten Fälle, Verstorbenen und Genesenen.
C COVID-19 Erkrankungen mit Meldedatum der letzten 7 Tage ab Datenstichtag, pro 100.000 Einwohner. Bitte beachten Sie, dass die Gesamtinzidenz der Meldungen in den letzten 7 Tagen für Rheinland-Pfalz /100.000 Einwohner das mit der Bevölkerungszahl der Gebietseinheit gewichtete Mittel und nicht deren arithmetisches Mittel ist.
D USAF = U.S. Armed Forces; Berechnung der Inzidenz /100.000 unter Berücksichtigung der mit Stand vom 18.10.2021 in der Gebietseinheit stationierten U.S. Streitkräfte
E beinhaltet <1% Fälle ohne Altersangabe
F Für die 7-Tage-Hospitalisierungsinzidenz (Schutzwert) wird ein landesweiter Wert berichtet. Die 7-Tages-Hospitalisierungsinzidenz bestimmt sich nach der Zahl der Hospitalisierungen unter den SARS-CoV-2-Fällen mit Meldedatum innerhalb der letzten 7 Tage je 100.000 Einwohnerinnen und Einwohner im Land Rheinland-Pfalz. Eine Hospitalisierung ist die stationäre Aufnahme in ein Akutkrankenhaus aufgrund von COVID-19, unbekannter oder anderer bekannter Ursache.
# Die Summe der in Rheinland-Pfalz bereits von COVID-19 Genesenen kann aufgrund eines unterschiedlichen Datenstandes und Bewertungsalgorithmus von der auf dem RKI-Dashboard abweichen.
KS = kreisfreie Stadt

Effektivität der Impfung

Mit Hinblick auf die Abschätzung der Impfeffektivität gegen COVID-19-Erkrankungen verweisen wir auf unseren Wochenbericht.

 SARS-CoV-2-Varianten

Vor dem Hintergrund einer nunmehr vollständigen bundesweiten Dominanz der SARS-CoV-2-Variante „Omikron“ stellen wir die landeseigene Berichterstattung zu den sogenannten „Variants of Concern“ ein. Falls weiter Interesse an den Varianten besteht, verweisen wir auf die bundesweiten Informationen dazu im Wochenbericht des Robert Koch-Instituts.

Corona-Lage in Rheinland-Pfalz

Weitere Informationen und Rechtsgrundlagen finden Sie auf der zentralen Info-Plattform der rheinland-pfälzischen Landesregierung unter www.corona.rlp.de.

 

Weitere Meldedaten zur Corona-Pandemie

Weitere rheinland-pfälzische Meldedaten zum Coronavirus finden Sie auf www.lua.rlp.de.

 

DIVI-Intensivregister: Anzeige der täglich freien und belegten Behandlungskapazitäten in der Intensivmedizin von etwa 1.300 Akut-Krankenhäusern in Deutschland:
https://www.intensivregister.de/#/aktuelle-lage/kartenansichten

RKI Zahlen finden Sie hier:
https://experience.arcgis.com/experience/478220a4c454480e823b17327b2bf1d4

Quelle Text/Bild:
LANDESUNTERSUCHUNGSAMT RHEINLAND-PFALZ
Mainzer Straße 112
56068 Koblenz

www.lua.rlp.de

Koblenz, 13.04.2022