Coronavirus SARS-CoV-2: Fallzahlen für Rheinland-Pfalz, Datenstand vom 23.12.2021, 14:10 Uhr)
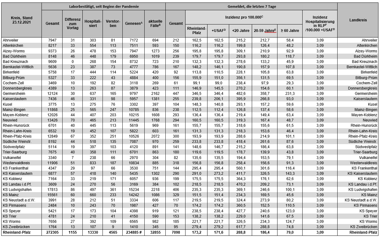
Die Fallzahlen zum Coronavirus in Rheinland-Pfalz: Seit gestern gibt es 1.155 neue bestätigte Corona-Fälle, 18 weitere Personen sind im Zusammenhang mit einer Infektion gestorben. Die landesweite 7-Tages-Inzidenz beträgt 173,2 pro 100.000 Einwohner (Vortag: 184,4). Die 7-Tages-Inzidenz liegt bei 78,2 pro 100.000 geimpfte Personen (Vortag: 79,6) und bei 394,7 pro 100.000 ungeimpfte Personen* (Vortag: 427,2). Die landesweite 7-Tages-Hospitalisierungsinzidenz beträgt 3,09 pro 100.000 Einwohner (Vortag: 3,36). In Rheinland-Pfalz gibt es aktuell 145 Verdachtsfälle und 10 bestätigte Fälle der Omikron-Virusvariante.
HINWEIS: Die Meldung enthält heute eine Übersicht der Omikron-Fälle in Rheinland-Pfalz. Wir berichten künftig über Verdachtsfälle und bestätigte Fälle der Omikron-Virusvariante, die dem LUA von den rheinland-pfälzischen Gesundheitsämtern bis zum Berichtszeitpunkt übermittelt wurden. Diese Übersicht gibt es jeweils an Werktagen von Montag bis Freitag.
Fallzahlen für Rheinland-Pfalz

Anmerkungen zur Tabelle
Dargestellt sind ausschließlich mittels PCR laborbestätigte Meldefälle.
A Genesen wurde wie folgt definiert:
a) nicht-verstorben, nicht-hospitalisiert und vor mehr als 21 Tagen ab Datenstichtag erkrankt
b) nicht-verstorben, hospitalisiert gemeldet und vor mehr als 28 Tagen ab Datenstichtag erkrankt
c) nicht-verstorben, Hospitalisierung unbekannt und vor mehr als 28 ab Datenstichtag Tagen erkrankt
Sofern kein Erkrankungsdatum vorliegt, wird das geschätzte Erkrankungsdatum aus Meldedatum minus mittlerem Meldeverzug von derzeit 5 Tagen verwendet.
B Errechnet als Differenz aus Gesamtzahl der laborbestätigten Fälle, Verstorbenen und Genesenen.
C COVID-19 Erkrankungen mit Meldedatum der letzten 7 Tage ab Datenstichtag, pro 100.000 Einwohner. Bitte beachten Sie, dass die Gesamtinzidenz der Meldungen in den letzten 7 Tagen für Rheinland-Pfalz /100.000 Einwohner das mit der Bevölkerungszahl der Gebietseinheit gewichtete Mittel und nicht deren arithmetisches Mittel ist.
D USAF = U.S. Armed Forces; Berechnung der Inzidenz /100.000 unter Berücksichtigung der mit Stand vom 18.10.2021 in der Gebietseinheit stationierten U.S. Streitkräfte
E beinhaltet <1% Fälle ohne Altersangabe
F Für die 7-Tage-Hospitalisierungsinzidenz (Schutzwert) wird ein landesweiter Wert berichtet.
# Die Summe der in Rheinland-Pfalz bereits von COVID-19 Genesenen kann aufgrund eines unterschiedlichen Datenstandes und Bewertungsalgorithmus von der auf dem RKI-Dashboard abweichen.
* Fehlende Werte in den übermittelten Angaben zum Impfstatus wurden altersstratifiziert auf Basis der vorhandenen Angaben geschätzt. Quelle für die Impfquote in Rheinland-Pfalz: https://www.rki.de/DE/Content/InfAZ/N/Neuartiges_Coronavirus/Daten/Impfquoten-Tab.html
Corona-Lage in Rheinland-Pfalz
Weitere Informationen und Rechtsgrundlagen finden Sie auf der zentralen Info-Plattform der rheinland-pfälzischen Landesregierung unter www.corona.rlp.de.
Weitere Meldedaten zur Corona-Pandemie
Weitere rheinland-pfälzische Meldedaten zum Coronavirus finden Sie auf www.lua.rlp.de.
—
Quelle Text/Bild:
LANDESUNTERSUCHUNGSAMT RHEINLAND-PFALZ
Mainzer Straße 112
56068 Koblenz
www.lua.rlp.de
Koblenz, 23.12.2021












