Coronavirus SARS-CoV-2: Fallzahlen für Rheinland-Pfalz, (Datenstand vom 01.02.2022, 14:10 Uhr)
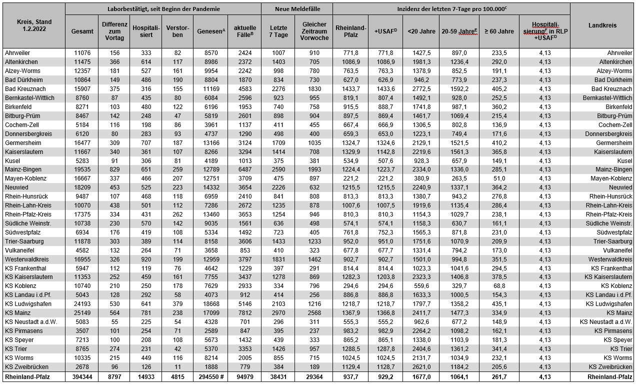
Die Fallzahlen zum Coronavirus in Rheinland-Pfalz: Seit gestern gibt es 8.797 neue bestätigte Corona-Fälle, 7 weitere Personen sind im Zusammenhang mit einer Infektion gestorben. Die landesweite 7-Tages-Inzidenz beträgt 937,7 pro 100.000 Einwohner (Vortag: 894,6). Die 7-Tages-Inzidenz liegt bei 337,5 pro 100.000 geimpfte Personen (Vortag: 346,7) und bei 2.574,9 pro 100.000 ungeimpfte Personen* (Vortag: 2.379,1). Die landesweite 7-Tages-Hospitalisierungsinzidenz beträgt 4,13 pro 100.000 Einwohner (Vortag: 4,04). Der Anteil von Omikron an den besorgniserregenden Corona-Virusmutationen liegt in Rheinland-Pfalz jetzt bei 98,3 Prozent.
Fallzahlen für Rheinland-Pfalz

Anmerkungen zur Tabelle
Dargestellt sind ausschließlich mittels PCR laborbestätigte Meldefälle.
A Genesen wurde wie folgt definiert:
a) nicht-verstorben, nicht-hospitalisiert und vor mehr als 21 Tagen ab Datenstichtag erkrankt
b) nicht-verstorben, hospitalisiert gemeldet und vor mehr als 28 Tagen ab Datenstichtag erkrankt
c) nicht-verstorben, Hospitalisierung unbekannt und vor mehr als 28 ab Datenstichtag Tagen erkrankt
Sofern kein Erkrankungsdatum vorliegt, wird das geschätzte Erkrankungsdatum aus Meldedatum minus mittlerem Meldeverzug von derzeit 5 Tagen verwendet.
B Errechnet als Differenz aus Gesamtzahl der laborbestätigten Fälle, Verstorbenen und Genesenen.
C COVID-19 Erkrankungen mit Meldedatum der letzten 7 Tage ab Datenstichtag, pro 100.000 Einwohner. Bitte beachten Sie, dass die Gesamtinzidenz der Meldungen in den letzten 7 Tagen für Rheinland-Pfalz /100.000 Einwohner das mit der Bevölkerungszahl der Gebietseinheit gewichtete Mittel und nicht deren arithmetisches Mittel ist.
D USAF = U.S. Armed Forces; Berechnung der Inzidenz /100.000 unter Berücksichtigung der mit Stand vom 18.10.2021 in der Gebietseinheit stationierten U.S. Streitkräfte
E beinhaltet <1% Fälle ohne Altersangabe
F Für die 7-Tage-Hospitalisierungsinzidenz (Schutzwert) wird ein landesweiter Wert berichtet. Die 7-Tages-Hospitalisierungsinzidenz bestimmt sich nach der Zahl der Hospitalisierungen unter den SARS-CoV-2-Fällen mit Meldedatum innerhalb der letzten 7 Tage je 100.000 Einwohnerinnen und Einwohner im Land Rheinland-Pfalz. Eine Hospitalisierung ist die stationäre Aufnahme in ein Akutkrankenhaus aufgrund von COVID-19, unbekannter oder anderer bekannter Ursache.
# Die Summe der in Rheinland-Pfalz bereits von COVID-19 Genesenen kann aufgrund eines unterschiedlichen Datenstandes und Bewertungsalgorithmus von der auf dem RKI-Dashboard abweichen.
* Fehlende Werte in den übermittelten Angaben zum Impfstatus wurden altersstratifiziert auf Basis der vorhandenen Angaben geschätzt. Quelle für die Impfquote in Rheinland-Pfalz: https://www.rki.de/DE/Content/InfAZ/N/Neuartiges_Coronavirus/Daten/Impfquoten-Tab.html
KS = kreisfreie Stadt
Omikron-Variante in Rheinland-Pfalz
Das LUA hat seine Berichterstattung zum Vorkommen von besorgniserregenden Corona-Virusmutationen (Variants of Concern (VOC)) in Rheinland-Pfalz wieder aufgenommen. Die regelmäßig aktualisierte Übersicht finden Sie hier auf der LUA-Homepage. Berichtet wird das Verhältnis der Corona-Virusmutationen (Verdachtsfälle und bestätigte Fälle) untereinander.
Corona-Lage in Rheinland-Pfalz
Weitere Informationen und Rechtsgrundlagen finden Sie auf der zentralen Info-Plattform der rheinland-pfälzischen Landesregierung unter www.corona.rlp.de.
Weitere Meldedaten zur Corona-Pandemie
Weitere rheinland-pfälzische Meldedaten zum Coronavirus finden Sie auf www.lua.rlp.de.
DIVI-Intensivregister: Anzeige der täglich freien und belegten Behandlungskapazitäten in der Intensivmedizin von etwa 1.300 Akut-Krankenhäusern in Deutschland:
https://www.intensivregister.de/#/aktuelle-lage/kartenansichten
RKI Zahlen finden Sie hier:
https://experience.arcgis.com/experience/478220a4c454480e823b17327b2bf1d4
—
Quelle Text/Bild:
LANDESUNTERSUCHUNGSAMT RHEINLAND-PFALZ
Mainzer Straße 112
56068 Koblenz
www.lua.rlp.de
Koblenz, 01.02.2022












