Coronavirus SARS-CoV-2: Fallzahlen und Leitindikatoren für Rheinland-Pfalz, (Datenstand vom 10.11.2021, 14:10 Uhr)
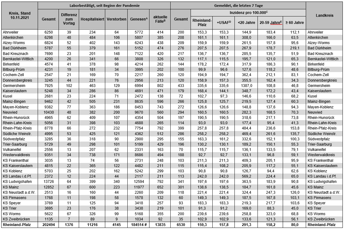
Die Fallzahlen zum Coronavirus in Rheinland-Pfalz und die Leitindikatoren für die Warnstufen: Seit gestern gibt es 1.376 bestätigte Corona-Fälle, 7 weitere Personen sind im Zusammenhang mit einer Infektion gestorben. Die landesweite 7-Tages-Inzidenz (+USAF) steigt auf 157,8 pro 100.000 Einwohner (Vortag: 153,6). Die landesweite 7-Tages-Hospitalisierungsinzidenz sinkt auf 3,5 pro 100.000 Einwohner (Vortag: 3,9). 5,62 Prozent der Intensivbetten in Rheinland-Pfalz sind mit COVID-19-Erkrankten belegt (Vortag: 5,31).
Leitindikatoren für die Corona-Warnstufen:

Anmerkungen zur Tabelle
*Bereitgestellt durch das Ministerium für Wissenschaft und Gesundheit des Landes, mit Unterstützung der Stiftung Institut für Herzinfarktforschung, Ludwigshafen
† U.S. Armed Forces; Berechnung der Inzidenz /100.000 unter Berücksichtigung der mit Stand vom 30.6.2020 in der Gebietseinheit stationierten U.S. Streitkräfte
EW=Einwohner
§ Nach 26. CoBeLVO für die Festlegung der Stufe des Leitindikators „7-Tages-Hospitalisierungs-Inzidenz“ relevante geographische Einheit
# Übermittelte Meldungen gem. IfSG mit Angabe einer Hospitalisierung, mit Meldedatum innerhalb der letzten 7 Tage
Die Leitindikatoren-Werte für die zurückliegenden Werktage finden Sie zusammen mit weiteren Corona-Meldedaten aus Rheinland-Pfalz auf der Homepage des LUA.
Die Warnstufen und die dazugehörigen Leitindikatoren sind so definiert:

Nach der 26. Corona-Bekämpfungsverordnung Rheinland-Pfalz verändert sich eine Warnstufe, wenn in einem Landkreis oder einer kreisfreien Stadt an drei aufeinanderfolgenden Werktagen jeweils zwei der drei Leitindikatoren mindestens den in der Verordnung festgelegten Wertebereich erreichen. Es ist dann die Aufgabe der Kommunen, den Zeitpunkt zu kommunizieren, ab dem die jeweilige Warnstufe in ihrem Gebiet gilt. Die tabellarische Darstellung des LUA verzichtet deshalb bewusst darauf, Warnstufen für einzelne Gebietseinheiten auszuweisen.
Fallzahlen für Rheinland-Pfalz

Anmerkungen zur Tabelle
Dargestellt sind ausschließlich mittels PCR laborbestätigte Meldefälle.
Als „verstorben“ gelten Fälle, die als „an“ und „mit“ COVID-19 verstorben übermittelt wurden.
A Genesen wurde wie folgt definiert:
a) nicht-verstorben, nicht-hospitalisiert und vor mehr als 21 Tagen ab Datenstichtag erkrankt
b) nicht-verstorben, hospitalisiert gemeldet und vor mehr als 28 Tagen ab Datenstichtag erkrankt
c) nicht-verstorben, Hospitalisierung unbekannt und vor mehr als 28 ab Datenstichtag Tagen erkrankt
Sofern kein Erkrankungsdatum vorliegt, wird das geschätzte Erkrankungsdatum aus Meldedatum minus mittlerem Meldeverzug von derzeit 5 Tagen verwendet.
B Errechnet als Differenz aus Gesamtzahl der laborbestätigten Fälle, Verstorbenen und Genesenen.
C COVID-19 Erkrankungen mit Meldedatum der letzten 7 Tage ab Datenstichtag, pro 100.000 Einwohner. Bitte beachten Sie, dass die Gesamtinzidenz der Meldungen in den letzten 7 Tagen für Rheinland-Pfalz /100.000 Einwohner das mit der Bevölkerungszahl der Gebietseinheit gewichtete Mittel und nicht deren arithmetisches Mittel ist.
D USAF = U.S. Armed Forces; Berechnung der Inzidenz /100.000 unter Berücksichtigung der mit Stand vom 30.6.2020 in der Gebietseinheit stationierten U.S. Streitkräfte
E beinhaltet <1% Fälle ohne Altersangabe
# Die Summe der in Rheinland-Pfalz bereits von COVID-19 Genesenen kann aufgrund eines unterschiedlichen Datenstandes und Bewertungsalgorithmus von der auf dem RKI-Dashboard abweichen.
Weitere offizielle Corona-Meldedaten aus Rheinland-Pfalz auf der Homepage des LUA:
https://lua.rlp.de/de/unsere-themen/infektionsschutz/meldedaten_coronavirus/
—
Quelle Text/Bild:
LANDESUNTERSUCHUNGSAMT RHEINLAND-PFALZ
Mainzer Straße 112
56068 Koblenz
www.lua.rlp.de
Koblenz, 10.11.2021









