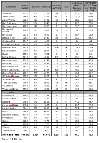
Aktuell gibt es in Rheinland-Pfalz insgesamt 104.016 bestätigte SARS-CoV-2 Fälle, 3.161 Todesfälle und 95.070 genesene Fälle. 5.785 Menschen im Land sind aktuell mit dem Coronavirus infiziert, Stand: 11:10 Uhr
Die oben genannten Zahlen entsprechen den in der Meldesoftware des Robert Koch-Instituts übermittelten laborbestätigten Fällen einer COVID-19 Erkrankung mit Meldeadresse in Rheinland-Pfalz. Diese werden von den Gesundheitsämtern über die Landesmeldestelle beim Landesuntersuchungsamt an das Robert Koch-Institut übermittelt. Diese Zahlen können vereinzelt von den durch die Kreisverwaltungen kommunizierten Zahlen abweichen.
Die Meldungen der Gesundheitsämter vor Ort erfolgen am Wochenende und an Feiertagen zum Teil zeitverzögert.
Die Summe der in Rheinland-Pfalz bereits von COVID-19 Genesenen wird anhand eines Bewertungsalgorithmus ermittelt. Diese Angaben können von den Zahlen des Robert Koch-Instituts abweichen.

* Als Gemeldete gelten alle Menschen mit COVID-19 Erkrankung mit Meldedatum der letzten 7 Tage, pro 100.000 Einwohner.
**Als Gemeldete gelten alle Menschen mit COVID-19 Erkrankung mit Meldedatum der letzten 7 Tage, pro 100.000 Einwohnern unter Berücksichtigung der mit Stand vom 30.6.2020 in der Gebietseinheit stationierten U.S. Streitkräfte.
*** Als Verdacht Variant of Concern gelten alle Menschen mit COVID-19 Erkrankung, bei denen aufgrund der Ergebnisse einer Teilsequenzierung des Genoms oder eines Screening-Verfahrens zur Detektion von Einzel-Nukleotid-Polymorphismen der Verdacht auf eine Infektion mit einer der unter dem RKI beschriebenen SARS-CoV-2-Varianten besteht.
**** Als Variant of Concern gelten alle Menschen mit COVID-19 Erkrankung, bei denen aufgrund der Ergebnisse einer Ganzgenomsequenzierung eine Infektion mit einer vom RKI beschriebenen SARS-CoV-2-Variante gesichert werden konnte.
Einen Überblick über alle Maßnahmen der Landesregierung bietet die Internetseite www.corona.rlp.de.
Alle Zahlen zu den Städten und Kreisen in RLP finden Sie hier:
https://msagd.rlp.de/de/unsere-themen/gesundheit-und-pflege/gesundheitliche-versorgung/oeffentlicher-gesundheitsdienst-hygiene-und-infektionsschutz/infektionsschutz/informationen-zum-coronavirus-sars-cov-2/
Quelle Text/Bild:
Ministerium für Soziales, Arbeit, Gesundheit und Demografie des Landes Rheinland-Pfalz
Bauhofstr. 9
55116 Mainz
www.msagd.rlp.de
Mainz, 06.03.2021











