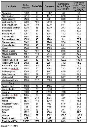
Aktuell gibt es in Rheinland-Pfalz insgesamt 95.703 bestätigte SARS-CoV-2 Fälle, 2.730 Todesfälle und 83.157 genesene Fälle. 9.816 Menschen im Land sind aktuell mit dem Coronavirus infiziert, Stand: 11:14 Uhr
Aufgrund des Wochenendes wurden nicht von allen Gesundheitsämtern Zahlen gemeldet. Die oben genannten Zahlen entsprechen den in der Meldesoftware des Robert Koch-Instituts übermittelten laborbestätigten Fällen einer COVID-19 Erkrankung mit Meldeadresse in Rheinland-Pfalz. Diese werden von den Gesundheitsämtern über die Landesmeldestelle beim Landesuntersuchungsamt an das Robert Koch-Institut übermittelt. Diese Zahlen können vereinzelt von den durch die Kreisverwaltungen kommunizierten Zahlen abweichen.
Die Summe der in Rheinland-Pfalz bereits von COVID-19 Genesenen wird anhand eines Bewertungsalgorithmus ermittelt. Diese Angaben können von den Zahlen des Robert Koch-Instituts abweichen.

* Als Gemeldete gelten alle Menschen mit COVID-19 Erkrankung mit Meldedatum der letzten 7 Tage, pro 100.000 Einwohner.
**Als Gemeldete gelten alle Menschen mit COVID-19 Erkrankung mit Meldedatum der letzten 7 Tage, pro 100.000 Einwohnern unter Berücksichtigung der mit Stand vom 30.6.2020 in der Gebietseinheit stationierten U.S. Streitkräfte.
Einen Überblick über alle Maßnahmen der Landesregierung bietet die Internetseite www.corona.rlp.de.
Alle Zahlen zu den Städten und Kreisen in RLP finden Sie hier:
https://msagd.rlp.de/de/unsere-themen/gesundheit-und-pflege/gesundheitliche-versorgung/oeffentlicher-gesundheitsdienst-hygiene-und-infektionsschutz/infektionsschutz/informationen-zum-coronavirus-sars-cov-2/
Quelle Text/Bild:
Ministerium für Soziales, Arbeit, Gesundheit und Demografie des Landes Rheinland-Pfalz
Bauhofstr. 9
55116 Mainz
www.msagd.rlp.de
Mainz, 07.02.2021












