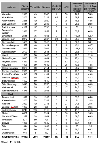
Aktuell gibt es in Rheinland-Pfalz insgesamt 100.108 bestätigte SARS-CoV-2 Fälle, 2.991 Todesfälle und 90.859 genesene Fälle. 6.258 Menschen im Land sind aktuell mit dem Coronavirus infiziert, Stand: 11:12 Uhr
Die oben genannten Zahlen entsprechen den in der Meldesoftware des Robert Koch-Instituts übermittelten laborbestätigten Fällen einer COVID-19 Erkrankung mit Meldeadresse in Rheinland-Pfalz. Diese werden von den Gesundheitsämtern über die Landesmeldestelle beim Landesuntersuchungsamt an das Robert Koch-Institut übermittelt. Diese Zahlen können vereinzelt von den durch die Kreisverwaltungen kommunizierten Zahlen abweichen.
Die Summe der in Rheinland-Pfalz bereits von COVID-19 Genesenen wird anhand eines Bewertungsalgorithmus ermittelt. Diese Angaben können von den Zahlen des Robert Koch-Instituts abweichen.

* Als Gemeldete gelten alle Menschen mit COVID-19 Erkrankung mit Meldedatum der letzten 7 Tage, pro 100.000 Einwohner.
**Als Gemeldete gelten alle Menschen mit COVID-19 Erkrankung mit Meldedatum der letzten 7 Tage, pro 100.000 Einwohnern unter Berücksichtigung der mit Stand vom 30.6.2020 in der Gebietseinheit stationierten U.S. Streitkräfte.
*** Als Verdacht Variant of Concern gelten alle Menschen mit COVID-19 Erkrankung, bei denen aufgrund der Ergebnisse einer Teilsequenzierung des Genoms oder eines Screening-Verfahrens zur Detektion von Einzel-Nukleotid-Polymorphismen der Verdacht auf eine Infektion mit einer der unter dem RKI beschriebenen SARS-CoV-2-Varianten besteht.
**** Als Variant of Concern gelten alle Menschen mit COVID-19 Erkrankung, bei denen aufgrund der Ergebnisse einer Ganzgenomsequenzierung eine Infektion mit einer vom RKI beschriebenen SARS-CoV-2-Variante gesichert werden konnte.
300.000 Corona-Schutzimpfungen in Rheinland-Pfalz verimpft
Seit dem Start der Impfungen konnten in Rheinland-Pfalz bereits mehr als 300.000 Impfungen verabreicht werden. Insgesamt hat es in Rheinland-Pfalz 301.166 Corona-Schutzimpfungen gegeben. Stand gestern Abend haben 174.956 Rheinland-Pfälzerinnen und Rheinland-Pfälzer ihre Erstimpfung erhalten, 126.210 davon bereits auch die Zweitimpfung.
„Ich freue mich, dass wir bei den Impfungen gut vorankommen. Unsere Impfstrategie funktioniert verlässlich und sorgt dafür, dass möglichst viele Menschen so schnell wie möglich einen Schutz durch die Corona-Impfung erhalten. Das ist eine großartige Leistung und zeugt von der guten Zusammenarbeit aller Beteiligten“, sagte Gesundheitsministerin Sabine Bätzing-Lichtenthäler.
In den Alten- und Pflegeeinrichtungen wurden bisher 67.587 Menschen erstgeimpft, 49.107 haben die zweite Impfung erhalten. In den Impfzentren gab es 89.437 Erstimpfungen und 62.160 Zweitimpfungen. In den Krankenhäusern haben bislang 17.932 Erst- und 14.943 Zweitimpfungen stattgefunden.
Einen Überblick über alle Maßnahmen der Landesregierung bietet die Internetseite www.corona.rlp.de.
Alle Zahlen zu den Städten und Kreisen in RLP finden Sie hier:
https://msagd.rlp.de/de/unsere-themen/gesundheit-und-pflege/gesundheitliche-versorgung/oeffentlicher-gesundheitsdienst-hygiene-und-infektionsschutz/infektionsschutz/informationen-zum-coronavirus-sars-cov-2/
Quelle Text/Bild:
Ministerium für Soziales, Arbeit, Gesundheit und Demografie des Landes Rheinland-Pfalz
Bauhofstr. 9
55116 Mainz
www.msagd.rlp.de
Mainz, 21.02.2021













